Cs-137 radioisotope source

Continuing the discussion from Discrepancy with Cs-137 radioisotope source:

Versions

Please provide the used software versions.

FLUKA:4-5.1
Flair:3.3-0.3

Cs_issue_17_tab.lis (45.1 KB)

Cs_issue.flair (898 Bytes)

Cs_issue.inp (1.1 KB)

I have scored the energy spectrum in a region (target filled with Be) for Cs-137 decay. Due to some reason it extends beyond the Q-value. Kindly explain.

Hi @akardeepak

Could you please include in your.flair file the scoring that you are using to produce the plot?

Cheers,

Jerzy

i have already included it.

For convenience I am again including it (unit of X-scale is 1/keV). The similar behaviour was observed with flair 3.4-3 also.

Cs_issue.flair (1.8 KB)

Okay, so there are two things:

  • You give a kinetic energy of 3 MeV to your primary Cs137 beam.

  • I think that what you see with theDETECTcard can actually be betas + gammas, everything that is deposited within one primary history.

    However, I tried to change the primary energy to 0 and look at the DETECT scoring again and the tail is still there, so at the moment I am not sure why would it reach up to 3 MeV and potentially more, to be investigated.

When using a USRTRK with a DCYSCOREassigned in semi-analoge mode, the spectra look like this.


with a clear cut-off at the Q-value.

Cheers,

Jerzy

The primary energy is in fact ignored when ISOTOPEis requested, sorry for the confusion! Yet I still have to find out what is happening there with the DETECTcard.

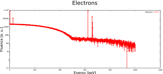
I cannot understand the peaks around 500-600 for electrons using USRTRK with DCYSCORE. I have simulated for 662 keV photons in identical condition. The electron spectra are attached for it (they don’t have these peaks). I have attached the flair and lis files also.

Meanwhile is there an alternative way to generate energy spectra as DETECT output doesn’t seem to be satisfactory?

Cs_issue.flair (2.7 KB)

662_21_tab.lis (61.1 KB)

662_22_tab.lis (61.1 KB)

662_23_tab.lis (61.1 KB)

662_24_tab.lis (61.1 KB)

Hi @akardeepak

Sorry for the late reply! I will have a look again at your question next week.

Best,

Jerzy

1 Like

The peaks that you are observing are coming from internal conversion electrons. It is better to visualize what is happening with the propagation medium set to VACUUMinstead of BERYLIUM.

You can see tha beta electron spectrum up to ~500 keV (the actual beta spectrum goes in fact up to the Q=1.176 MeV, but a decay directly to the 137 Ba ground state happens only about 5% of the times). The low energy peaks are likely Auger electrons of few tens of keV. The peak at 624 keV and then the following peaks at ~655 keV and up are clear internal conversion electrons. I found this website that explains nicely what happens exactly for our example of 137Cs decay:

I hope that helps.

Now about your second question about the way to generate energy spectra, a similar problem was discussed in the following forum thread:
https://fluka-forum.web.cern.ch/t/scoring-energy-spectrum-cs-137-in-labr3/2845/8
Quoting the answer given there:

in practical terms, a viable solution is indeed to use the source.f routine (…) manually introducing the energy and branching ratios of the lines you care about and steering the sampling accordingly.

and then you can use DETECTcard as intended.

Best regards,

Jerzy

That makes sense and I conclude that the decay products are sampled as per their probabilities irrespective of the branch they belong to.
I want to implement the Cs-137 decay scheme where multiple particles (like beta and gamma/IC electron ignoring others) are emitted in a branch. Can you suggest of provide a template of source.f to do it?