Versions
Please provide the used software versions.
FLUKA: 4-4.0
Flair:3-3.1
Description
Dear experts:
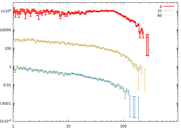
I tried to count the double differential distribution of neutrons produced by C12 ion bombardment of Be target. The trend of my results is the same as that in the literature. But there is a big deviation in the units. The manual indicates that the default unit of USRYIELD’s output should be GeV-1*sr-1. After I used this unit conversion, the deviation became even bigger. Please tell me where the problem is. Thanks.
Input files
BE.flair (3.9 KB)
BE.inp (2.4 KB)

